Gieo một con súc sắc cân đối và đồng chất. Giả sử súc sắc xuất hiện mặt \(b\) chấm. Tính xác suất để phương trình \(x^2+bx+2=0\) có hai nghiệm phân biệt.
| \(\dfrac{3}{5}\) | |
| \(\dfrac{5}{6}\) | |
| \(\dfrac{1}{3}\) | |
| \(\dfrac{2}{3}\) |
Chọn phương án D.
Ta có: \(n\left(\Omega\right)=6\).
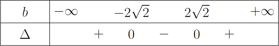
Phương trình \(x^2+bx+2=0\) có hai nghiệm phân biệt khi và chỉ khi \(\Delta=b^2-8>0\).
Bảng xét dấu:
Suy ra \(b\in(-\infty;-2\sqrt{2})\cup(2\sqrt{2};+\infty)\).
Vì \(b\) là số chấm xuất hiện trên súc sắc nên \(b\in\{3;4;5;6\}\).
Vậy xác suất cần tìm là $$P=\dfrac{4}{6}=\dfrac{2}{3}.$$